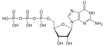
GTP (guanosine triphosphate)

GTP is a nucleotide that is incorporated into the RNA chain and is used as a source of energy during synthesis of proteins. It is also known as guanylyl imidodiphosphate and guanosine-5'-triphosphate.

GTP provides energy for specific steps in gluconeogenesis in a manner similar to ATP but more specific. It is involved in energy transfer in cells. A GTP molecule is generated in the TCA cycle by one of the enzymes, and it can be readily converted to ATP with nucleoside-diphosphate kinase (NDK).

GTP is essential in certain signal transduction processes.

GTP is used at the ribosome in the elongation phase of translation as the energy source for the binding of a new tRNA with its specific amino acid cargo to the A-site. It also provides the energy for the translocation of the ribosome toward the 3' end of the mRNA. (wiki)

GTP wiki

Index

Organic chemistry concepts

Chemistry concepts

Reference
Karp
Ch 3
 
HyperPhysics*****Chemistry R Nave
Go Back







blank

Index

Organic chemistry concepts

Chemistry concepts

Reference
Karp
Ch 3
 
HyperPhysics*****Chemistry R Nave
Go Back